当前位置:肿瘤瞭望>资讯>新知>正文

乳腺新语丨“中国之声”绽放国际舞台——HR+/HER2-乳腺癌疗进展(1)

作者:肿瘤瞭望   日期:2025/3/3 17:07:38  浏览量:4488

肿瘤瞭望版权所有,谢绝任何形式转载,侵犯版权者必予法律追究。

随着乳腺癌治疗领域的不断进步,中国学者在全球舞台上展现出了卓越的科研实力与创新精神。本期“乳腺新语”栏目聚焦于近期国际期刊上发表的、由中国学者主导的HR+/HER2-乳腺癌的重要研究成果。本次精选的两篇文章分别为中山大学肿瘤防治中心王树森教授团队发表于Journal of Clinical Oncology(JCO)杂志的MECCA研究和河北医科大学第四医院耿翠芝教授团队发表于Breast Cancer Research(BREAST CANCER RES TR)杂志的DARLING 01研究,这两项研究不仅为HR+/HER2-乳腺癌患者带来了新的治疗方案,也进一步推动了乳腺癌治疗策略的多元化发展。两项研究分别从节拍化疗联合内分泌治疗和新型CDK4/6抑制剂联合新辅助治疗的角度出发,探索了更加高效、安全的治疗方案。接下来,让我们一同深入了解这两项研究的主要内容。

编者按:随着乳腺癌治疗领域的不断进步,中国学者在全球舞台上展现出了卓越的科研实力与创新精神。本期“乳腺新语”栏目聚焦于近期国际期刊上发表的、由中国学者主导的HR+/HER2-乳腺癌的重要研究成果。本次精选的两篇文章分别为中山大学肿瘤防治中心王树森教授团队发表于Journal of Clinical Oncology(JCO)杂志的MECCA研究和河北医科大学第四医院耿翠芝教授团队发表于Breast Cancer Research(BREAST CANCER RES TR)杂志的DARLING 01研究,这两项研究不仅为HR+/HER2-乳腺癌患者带来了新的治疗方案,也进一步推动了乳腺癌治疗策略的多元化发展。两项研究分别从节拍化疗联合内分泌治疗和新型CDK4/6抑制剂联合新辅助治疗的角度出发,探索了更加高效、安全的治疗方案。接下来,让我们一同深入了解这两项研究的主要内容。

MECCA(III期临床试验):验证卡培他滨节拍化疗联合内分泌治疗(ET)作为HR+/HER2-转移性乳腺癌患者(MBC)一线治疗的有效性和安全性
 
 
研究背景:内分泌治疗(ET)是HR+/HER2-乳腺癌患者初始治疗的基石。然而,尽管初始治疗有效,但几乎所有患者最终都会对ET产生耐药,导致治疗失败。CDK4/6抑制剂或mTOR抑制剂依维莫司在克服或延缓耐药方面,已取得显著成就。尽管如此,我们仍需要新的联合策略来进一步改善HR+/HER2-MBC的生存结局。
 
节拍化疗以高频率给予低剂量细胞毒性药物为特点,已成为治疗乳腺癌的一种有前景的方法。研究表明,与常规最大耐受剂量(MTD)化疗相比,其临床疗效较好,不良反应较轻。多项2期临床试验已经探索了节拍化疗-ET联合方案在乳腺癌新辅助治疗和转移治疗中的安全性和疗效。卡培他滨是一种口服化疗药物,在乳腺癌治疗中已确立疗效,但节拍化疗+内分泌治疗的效果尚未通过随机III期临床试验阐明。
 
研究方法:MACCA研究旨在探索节拍卡培他滨联合ET作为HR+/HER2-MBC患者一线治疗的有效性。自2017年8月22日至2021年9月24日,在中国12个中心开展了随机临床试验,最终随访日期为2023年8月25日。入组了HR+/HER2-MBC患者,且这些患者在转移阶段未接受过任何系统治疗。参与者按1∶1的比例随机分配至节拍卡培他滨联合芳香化酶抑制剂(AI)组或单药AI组。主要终点为无进展生存期(PFS)。次要终点包括总生存期(OS)、客观缓解率(ORR)、疾病控制率(定义为疾病控制≥24周)和安全性。
 
研究结果:共263例患者被随机分配,其中254例患者构成了全分析集。中位随访时间50.7个月时,发生了203例PFS事件。节拍卡培他滨+AI组的中位PFS为20.9个月,而单药AI组为11.9个月(HR,0.58;95%CI:0.43~0.76)。
 
△254例HR+/HER2-MBC患者PFS的KM曲线。
 
节拍卡培他滨+AI治疗组的中位OS未达到,而单药AI组为45.1个月(HR,0.58;95%CI:0.37~0.93)。
 
△254例HR+/HER2-MBC患者OS的KM曲线
 
最常见的不良事件为掌跖感觉异常和周围神经病变;接受联合治疗的患者中,15.1%发生了3级不良事件。
 
△患者治疗相关不良事件(AE)
 
研究结论:MECCA试验显示,在HR+/HER2-MBC患者中,一线使用节拍卡培他滨+AI治疗相比单药AI治疗,在PFS和OS方面均有显著改善。两组治疗的安全性特征均可耐受,与既往报告一致。
 
DARLING 01(单臂、开放标签探索性2期试验)研究:达尔西利联合来曲唑新辅助治疗对绝经后HR+/HER2-II~III期乳腺癌患者的临床疗效和治疗反应预测
 
 
研究背景:HR+/HER2-乳腺癌是乳腺癌中最常见的亚型,但其对传统化疗的反应有限,这给实现最佳治疗效果带来了挑战。本研究旨在评估新型CDK4/6抑制剂达尔西利联合来曲唑作为新辅助治疗(NAT)在绝经后HR+/HER2-II~III期乳腺癌患者中的临床疗效和安全性。此外,研究者还通过基因分析探索了潜在的治疗反应预测生物标志物。
 
研究方法:这项单臂、开放标签的探索性2期试验纳入了35例HR+/HER2-绝经后女性乳腺癌患者(NCT05512780)。患者接受四个周期的达尔西利(125 mg/d治疗3周,之后休息1周)联合持续来曲唑(2.5 mg/d)治疗。主要终点为客观缓解率(ORR),次要终点包括Ki-67表达变化、完全细胞周期阻滞(CCCA)率、残余肿瘤负荷(RCB)和安全性。基因表达谱和最小绝对收缩和选择算子(LASSO)回归分析确定预测NAT疗效的生物标志物。
 
研究结果:该研究共纳入35例患者,31例完成全程治疗。29例患者在治疗4个周期后可评估治疗疗效,其中16例获得部分缓解(PR),ORR为55.2%。
 
△术前治疗疗效评价
 
治疗2周后,Ki-67平均表达较基线水平显著下降(从17.5降至1.8%),75%的患者出现CCCA。
 
△Ki-67表达和疗效。可评价样本基线、治疗后2周和术后Ki-67表达的箱形图(A)和单个患者肿瘤Ki-67变化(B)(Ki-67值:平均值±标准差)
 
≥3级不良反应主要为中性粒细胞减少(45.7%),中位持续时间为3天。
 
△35例患者出现的不良事件
 
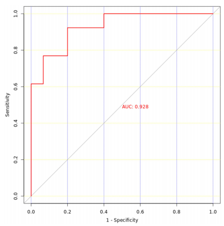
结合基因表达分析和临床病理因素建立的NAT疗效预测模型的曲线下面积(AUC)为0.928,提示TFRC、SCUBE2和MMP11A可作为NAT疗效预测的新型生物标志物。
 
△预测模型的性能。绘制受试者工作特征曲线(ROC曲线),AUC为0.928。
 
研究结论:达尔西利联合来曲唑在绝经后HR+/HER2-乳腺癌患者中显示出良好的抗肿瘤活性和可接受的安全性。TFRC、SCUBE2和MMP11A作为预测性生物标志物的发现为个体化新辅助治疗提供了见解。
 
参考文献:
 
1、Hong,Ruo-Xi et al.“Metronomic Capecitabine Plus Aromatase Inhibitor as Initial Therapy in Patients With Hormone Receptor-Positive,Human Epidermal Growth Factor Receptor 2-Negative Metastatic Breast Cancer-The Phase III MECCA Trial.”Journal of clinical oncology:official journal of the American Society of Clinical Oncology,JCO2400938.2 Jan.2025,doi:10.1200/JCO.24.00938
 
2、Zhang,Lina et al.“Clinical efficacy and therapy response prediction of neoadjuvant dalpiciclib plus letrozole in postmenopausal patients with HR+/HER2-stage II-III breast cancer(DARLING 01):a single-arm,open-label,exploratory study.”Breast cancer research:BCR vol.27,1 21.13 Feb.2025,doi:10.1186/s13058-025-01976-0

本内容仅供医学专业人士参考


乳腺癌

分享到: 更多